Implementation of some logic gates using only nand gate(and already implemented gates).
Basic Logic Gates
1. Not

2. And

3. Or


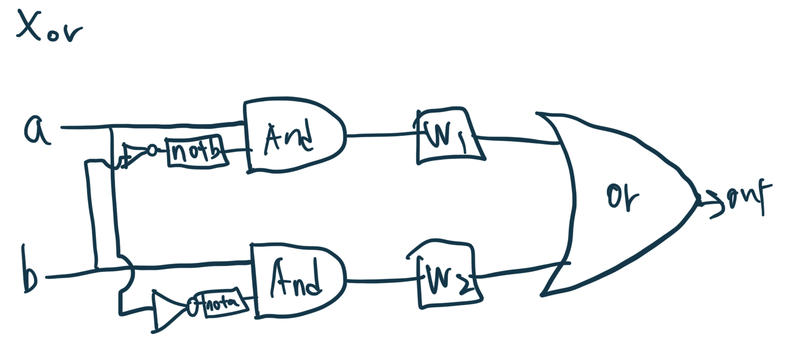
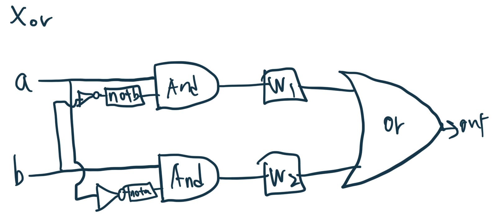
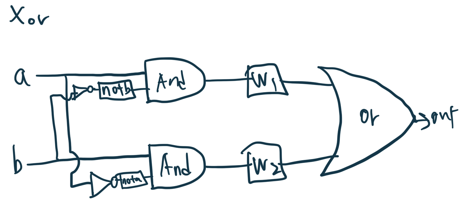
4. Xor


5. Multiplexor


6. Demultiplexor


Multi-Bit Version of Basic Gates
7. Multi-Bit Not


8. Multi-Bit And


9. Multi-Bit Or


10. Multi-Bit Multiplexor


Multi-Way Version of Basic Gates
11. Multi-Way Or


12. Multi-Way/Multi-Bit Multiplexor (4-Way/16-Bit Multiplexor)



13. Multi-Way/Multi-Bit Multiplexor (8-Way/16-Bit Multiplexor)



14. Multi-Way/Multi-Bit Demultiplexor (4-Way/1-Bit Demultiplexor)



15. Multi-Way/Multi-Bit Demultiplexor (8-Way/1-Bit Demultiplexor)



'Book > 밑바닥부터 만드는 컴퓨팅 시스템' 카테고리의 다른 글
| [Project 2] Boolean Arithmetic (0) | 2023.01.21 |
|---|---|
| [Chapter 2] Boolean Arithmetic (0) | 2023.01.20 |
| [Chapter 1] Boolean Logic (0) | 2023.01.18 |